Chemical Tests
We can use various tests to determine the identity of gases, various solid metals and positive and negative ions in solution. You’re going to have to memorise the different tests and their results, but its easy marks to pick up on the exam once you know them.
Tests for gases
We can use different laboratory tests to confirm the presence of hydrogen, oxygen, carbon dioxide, ammonia and chlorine gas.
- Hydrogen: a lit splint will burn with a squeaky pop 
- Oxygen: a glowing splint will re-light 
- Carbon dioxide: turns limewater milky 
- Ammonia: turns damp red litmus paper blue. It also has a pungent odour. 
- Chlorine: turns damp blue litmus paper red before bleaching it white. 
Flame tests
A flame test is carried out by cleaning a platinum or nichrome wire by placing it in concentrated hydrochloric acid. We use platinum or nichrome because they have a high melting point (so it won’t melt in the flame) and are unreactive. We place the acid-soaked wire into the centre of a hot Bunsen flame then place it into a sample of the metal we want to test. We then place it back into the non-luminous flame - it needs to be non-luminous (not very orange) so we can clearly see the colour.
Lithium, Li+ burns with a red flame.
Sodium, Na+ burns with a yellow-orange flame.
Potassium, K+ burns with a lilac flame.
Calcium, Ca2+ burns with an orange-red flame.
Copper, Cu2+ burns with a blue-green flame.
Tests for positive ions (cations)
We can also carry out tests to identify positive ions in solution. They all involve adding an alkali, such as sodium hydroxide (NaOH) to the solution.
Reacting ammonium ions with sodium hydroxide results in the formation of ammonia gas. Remember that ammonia gas can be detected by its pungent odour (it smells a lot like cat pee) and it will turn damp red litmus paper blue. This is because ammonia gas reacts with the water on the litmus paper to form ammonium hydroxide and litmus paper turns blue in the presence of hydroxide ions.
When copper ions, Cu2+ react with sodium hydroxide, a blue precipitate of copper (II) hydroxide, Cu(OH)2 is formed. A similar reaction happens with iron (II) (Fe2+) and iron (III) ions (Fe3+) to form green iron (II) hydroxide, Fe(OH)2 and brown iron (III) hydroxide, Fe(OH)3 respectively.
Tests for negative ions (anions)
Think milk, cream, butter
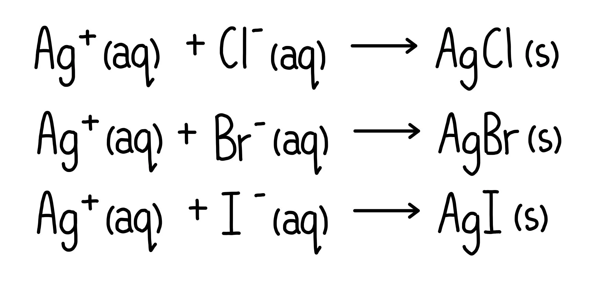
We can test for the halide ions (the ions formed from the group 7 elements) using dilute nitric acid followed by silver nitrate. We add dilute nitric acid to remove any carbonate or sulfate ions which would give a false positive result. Silver ions react with the halide ions to form precipitates of silver chloride, silver bromide or silver iodide which deepen in colour from white, cream then yellow. The equations for these reactions are:
Carbonate ions can be tested by reacting the solution with an acid, such hydrochloric acid. Acids react with carbonates to form a salt, water and carbon dioxide then the carbon dioxide can be tested by bubbling through limewater.
Sulfate ions are tested by adding dilute hydrochloric acid followed by barium chloride. The purpose of the acid is to remove any carbonate ions that may give a false positive result. The reaction between sulfate ions and barium chloride forms barium sulfate which is an insoluble white precipitate.
Here’s a table summarising the test for anions:
Tests for water
Pure water can be tested chemically and physically. The chemical test for water involves adding anhydrous copper sulfate, which is a white powder. When it is added to water it becomes hydrated copper sulfate which are bright blue crystals. The physical test for water involves heating it to 100oC to see if it boils completely. Any impurities in water will alter its boiling point slightly and it won't completely boil at 100oC.
Copper sulfate turns blue in the presence of water. Image: BBC
Did you know..
In 2008 an artist called Rogen Hiorns filled an abandoned council flat in Peckham, London with 75,000 litres of copper sulfate solution. He left the solution for a few weeks before draining the flat, leaving behind crystals of bright blue copper sulfate adorning the walls and ceilings. Image credit: Nick Cobbing
Next Page: Energetics
Download worksheet: Chemical Tests / Answers
 
            